トルク/スラストとエアギャップ(磁石間の距離)について

トルク(torque)             相手側から伝達された力の大きさ。単位は『N・m(ニュートンメートル)』あるいは『Kgf・cm(キログラムエフセンチメートル)』。
※特性表では”Kgf・cm”を採用しています。

スラスト(thrust)            回転体の軸方向にかかる力、推力。単位はKgf(キログラムエフ)。

エアギャップ (AG)向かい合った(あるいは引き寄せあった)磁石間の距離。                  

磁石間の距離.PNG

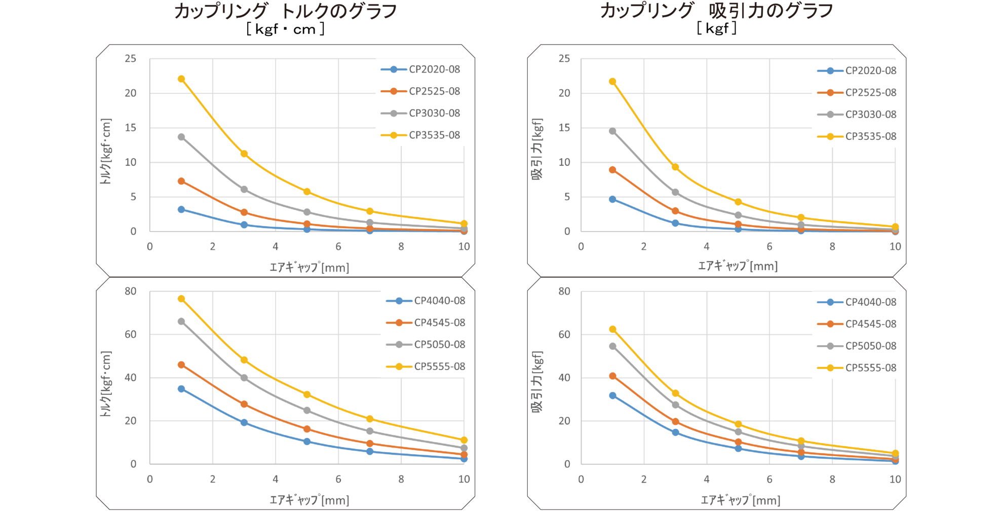
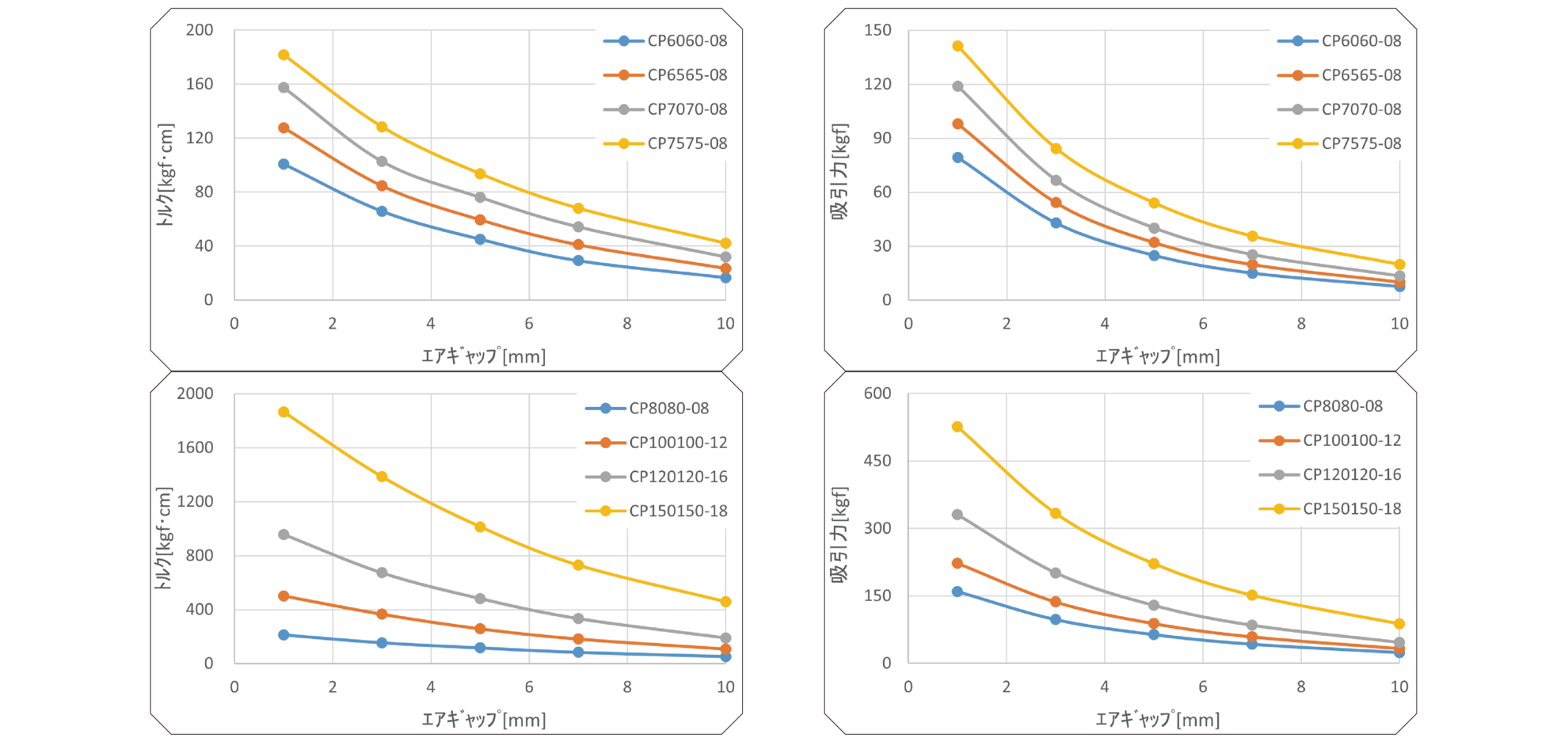
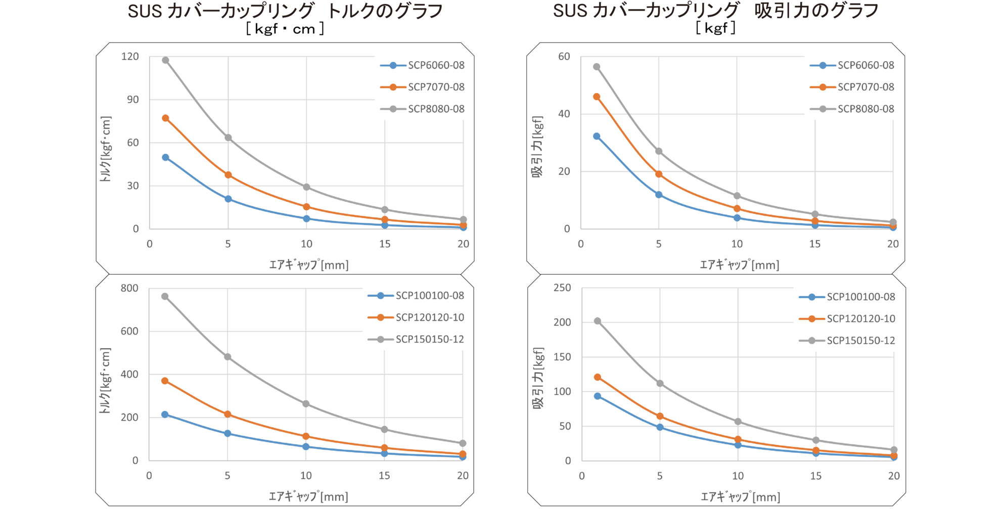
特性表(参考値)

カップリング トルク                   カップリング 吸引力

CP20~40.JPG
CP40~150.JPG

SUSカバーカップリング トルク             SUSカバーカップリング 吸引力

SCP特性1706.JPG

マイタ トルク                       マイタ 吸引力

MP特性1706.JPG

磁石に関するデータ一覧

こちらでは、プロスパインの材料として使用している磁石に関する様々なデータを掲載しています。

PDFファイルをご覧いただくにはAdobe Readerが必要です。

Adobe Readerがインストールされていない場合は、左のアイコンをクリックして、ダウンロードした後インストールしてください。Adobe ReaderをインストールするとPDFファイルがご覧頂けます。
詳しくは、
アドビ システムズ社のサイトをご覧ください。

標準品に使われている磁石に関するデータです。  

特性種類 単位 φ22円筒磁石 φ26、φ35円筒磁石 その他標準品磁石
残留磁束密度(Br) T 1.25 1.3 1.35
保磁力(Hcb) kA/m 905 920 >995
保磁力(Hcj) kA/m >1110 >1040 >1114
最大エネルギー積(BHmax) kj/ 285 315 355
リコイル透磁率 1.05
Brの温度係数 %/℃ -0.10
Hcjの温度係数 %/℃ -0.50 -0.55
密度 g/ 7.6 7.5
キュリー温度  ℃ 360 330
熱膨張係数 1/℃  磁化方向:1〜2×10
磁化垂直向:-1〜0×10
66
磁化方向:6.5×10
磁化垂直向:-1.5×10
66
電気抵抗 μΩ・m 1.35 1.3
ビッカース硬度 HV 750 600

お問合せ・ご相談はこちら

<営業・マグネ製品・R&D>に関するお問合せ
0229-54-1320

<金型部品・高精度雲台>に関するお問合せはこちら

0229-55-3375

受付時間:9:00~17:00
定休日:土日祝祭日